Sophie Germain (Monsieur Le Blanc)

¿Quién fue?

Marie-Sophie Germain nació en francia en 1776 en el seno de una familia burguesamatemática, física y filósofa, fue una de las pioneras de la teoría de elasticidad e hizo importantes contribuciones a la teoría de números. Uno de sus trabajos más importantes fue el estudio de los que luego se conocieron como números primos de Sophie Germain (números primos cuyo doble incrementado en una unidad es también un número primo).

A los 13 años, en plena Revolución, convencida de que su familia sólo pensaba en dinero y política, se refugió en la lectura, su interés por las Matemáticas surgió tras leer la Historia de las Matemáticas de Jean-Baptiste Montucla. Quedó tan impresionada por la leyenda sobre la muerte de Arquímedes por los soldados romanos mientras estaba absorto en un problema de geometría, le conmovió tanto el fuerte efecto de la Matemática, capaz de hacer olvidar la guerra, que decidió dedicarse a su estudio.

A partir de este momento comenzó a leer y descubrió los trabajos de Joseph-Louis Lagrange. Fue tan tenaz con las ciencias matemáticas que desafió todos los esfuerzos de sus padres por desalentarla. Un amigo de Sophie contó en su funeral: «Sus padres apagaban el fuego de su habitación, le quitaban la ropa y la dejaban encerrada, muerta de frío y sin una sola vela, para obligarla a descansar. Pero ella estudiaba igual, envuelta en mantas, luchando con la tinta que se congelaba en el tintero, haciendo cálculos a la luz de la luna». Tenía solo 14 años en ese entonces.

Sophie Germain fue una matemática brillante que no pudo lograr su pleno desarrollo ya que no pudo acceder a una educación matemática formal y tuvo que trabajar en solitario ante la exclusión de una jerarquía científica completamente masculina. Aunque su obra merecía el reconocimiento académico, nunca recibió título alguno.

Biografía científica

4

Desde muy pequeña leyó obras como el tratado de aritmética de Étienne Bezout y el de cálculo diferencial de A.J. Cousin, llegó a aprender, sin ayuda, latín para poder leer las obras de Isaac Newton y Leonhard Euler.

Cuando tenía 18 años cuando se fundó la Escuela Politécnica de París, como las mujeres no eran admitidas (no lo fueron hasta 1972) consiguió apuntes de algunos cursos como el de  Análisis de Lagrange. Al acabar el curso Sophie presentó un trabajo que firmó como Antoine-Auguste Le Blanc, un antiguo alumno de la escuela. El trabajo impresionó a Lagrange por su originalidad y quiso conocer a su autor. Al saber su verdadera identidad, la felicitó personalmente y le predijo éxito como analista, animándola de esta forma a seguir estudiando.

En 1804, tras leer a Gauss en Disquisitiones Aritmeticae, comenzó a cartearse con él, de nuevo bajo pseudónimo. Dos años después, durante la invasión napoleónica Gauss conoció su verdadera identidad, cuando Germain intercedió ante uno de los generales de Napoleón (Pernety), a quien conocía personalmente, para que le protegiera. Pernety localizó al matemático alemán y le dijo quien era su protectora (lo que confundió a Gauss ya que nunca había oído hablar de ella). Entonces Germain le escribió a Gauss admitiendo ser una mujer; a lo que Gauss contestó lo siguiente:

Pero cómo describirte mi admiración y asombro al ver que mi estimado corresponsal, el Sr. Le Blanc, se metamorfosea en este personaje ilustre que me ofrece un ejemplo tan brillante que sería difícil de creer. La afinidad por las ciencias abstractas en general y sobre todo por los misterios de los números es demasiado rara: lo que no me asombra ya que los encantos de esta ciencia sublime solo se revelan a aquellos que tienen el valor de profundizar en ella. Pero cuando una persona del sexo que, según nuestras costumbres y prejuicios, debe encontrar muchísimas más dificultades que los hombres para familiarizarse con estos espinosos estudios, y sin embargo tiene éxito al sortear los obstáculos y penetrar en las zonas más oscuras de ellos, entonces sin duda esa persona debe tener el valor más noble, el talento más extraordinario y un genio superior. De verdad que nada podría probarme de forma tan meridiana y tan poco equívoca que los atractivos de esta ciencia que ha enriquecido mi vida con tantas alegrías no son quimeras, dada la predilección con la que tú has hecho honor a ella.

Carl Friedrich Gauss

En 1811 Germain participó en un concurso de la Academia Francesa de las Ciencias para explicar los fundamentos matemáticos aplicados al estudio sobre las vibraciones de las superficies elásticas. Tras ser rechazada dos veces, en 1816 ganó el concurso, con el trabajo que se titulaba “Mémoire sur les Vibrations des Surfaces Élastiques». A pesar de esto Sophie no asistió a la ceremonia de entrega.

A partir de ese momento consiguió el respeto y el reconocimiento de la comunidad científica, debido, entre otras cosas, a su amistad con Jean-Baptiste Joseph Fourier que, tras ser elegido Secretario Permanente de la Academia de Ciencias, le permitió asistir a sesiones, siendo así la primera mujer, no esposa de académico, que lo hizo. También continuó sus investigaciones con Legendre sobre la Teoría de Números y reanudó la correspondencia con Gauss sobre este tema.

El 27 de junio de 1831 murió en París debido a un cáncer a los 55 años. A pesar de su extensa correspondencia, Gauss y Sophie nunca se conocieron personalmente, aún así Gauss intentó que la Universidad de Göttingen le otorgase el título de doctor honoris causa pero su propuesta no tuvo éxito.

Su Obra

Sus primeros trabajos en Teoría de Números los conocemos a través de sus cartas con Gauss. Entre 1804 y 1809 Sophie escribió a Gauss una decena de cartas en las que le comentaba sus investigaciones.

En 1808 comunicó a Gauss su más brillante descubrimiento en Teoría de Números, la demostración matemática de la siguiente proposición: si xyz son enteros y x5 + y5 = z5, entonces al menos uno de ellos (xy, o z) es divisible por cinco. Esta demostración, que fue descrita por primera vez en una carta a Gauss, tenía una importancia significativa ya que restringía de forma considerable las soluciones del Último Teorema de Fermat, el famoso enunciado que no pudo ser demostrado por completo hasta 1995.

Sophie se propuso demostrar el Último Teorema de Fermat, no había otra forma salvo demostrando uno por uno todos los valores de n, procedimiento que bastaría para probar el teorema para todos los exponentes primos. Sophie desarrolló lo que hoy conocemos como «Teorema de Germain», que probó que el teorema era verdadero para cualquier n que fuese un número primo menor que 100, siempre y cuando x, y y z no fuesen divisibles por n.

Los investigadores actuales creen que Sophie trabajó mucho más aislada de lo que se pensaba, ahora que Pengelley y Laubenbacher han encontrado sus papeles. Antes se creía que Legender había sido su profesor y que le había transmitido la mayor parte de las soluciones que ella escribía, pero las notas redescubiertas demuestran que ella probó independientemente la mayoría de los mismos, y que cada uno ignoraba todo acerca del trabajo del otro. Dice Pengelley: «Las técnicas de Legendre eran mucho más ad hoc que las de ella. Germain desarrolló una aproximación teórica, un algoritmo, porque se concentró en métodos aplicables a demostrar los casos generales. Ella era mucho más matemática teórica que él».

Pengelley y Laubenbacher, estudiando sus anotaciones, descubrieron que Sophie había logrado exceder a todos los matemáticos anteriores a ella ya que fue la única en diseñar una forma posible, plausible y realista para demostrar el Último Teorema de Fermat. No para demostrarlo número a número, ni limitándonos a primos, o no divisibles por n, sino para demostrar el caso general. Esto pudo cumplirse en 1994, con ordenadores, hoy en día se conoce como «Teoría de Germain», era revolucionario en el siglo XIX y lo sigue siendo.

Nadie había razonado así antes, si su idea hubiese funcionado, habría probado la conjetura completa, pero, como consecuencia de que su trabajo fue desconocido para sus contemporáneos y para todos nosotros hasta hace apenas unos años, los matemáticos de todo el mundo se pasaron los 80 años siguientes a la muerte de Sophie intentando probar teoremas que ella había demostrado cuando tenía menos de 30 años.

Cuando Gauss supo que Sophie había leído su libro y pensaba utilizar sus técnicas para el Último Teorema de Fermat y otros problemas, le escribió una carta en la que le explicaba en profundidad cosas que no figuraban en el libro y le pidió que se las criticara y que comenzase a colaborar con él. En ella, entre otras cosas, escribe: «Me complace que la aritmética haya conseguido en usted una amiga tan capaz».

Posiblemente la principal razón de que Sophie no llegase a probar el caso general del famoso teorema, haya sido la naturaleza solitaria de su trabajo. Lubenbacher afirma: «Todos cometemos errores, pero los colegas o los profesores los encuentran y corrigen. Sophie nunca disfrutó de esa ventaja». Pengelley agrega: «Pienso que lo que esos errores

demuestran es que ella no tenía a nadie que leyera sus trabajos ni que interactuara con ella. Es probable, aunque para mí es absolutamente increíble, que muchos de sus más importantes manuscritos jamás hayan sido leídos por nadie hasta que nosotros los redescubrimos».

Aún así el intento de Sophie, aun sin errores, nunca hubiese funcionado, se trata de un problema extremadamente complicado, que necesitó otros dos siglos de desarrollo de nuevas herramientas matemáticas para ser resuelto. En tiempos de Sophie esas herramientas no existían, ni tampoco los conceptos teóricos en que se basan. Al final, ella misma probó que su sistema no servía.

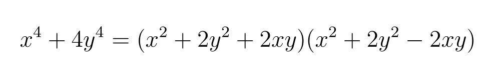
Una de sus más famosas identidades, más comúnmente conocida como Identidad de Sophie Germain expresa para dos números x e y que:

1

Sus investigaciones en teoría de la elasticidad comienzan a partir de 1809 cuando la Academia de Ciencias de París propone como tema, para obtener el premio extraordinario de la Academia: “Donner la théorie mathématique des surfaces élastiques et la comparer à l’expérience”. Descubrir las ecuaciones diferenciales de las superficies vibrantes parecía demasiado difícil a los ojos de la mayor parte de los matemáticos. A pesar de las lagunas de su formación, o quizás por ello, Sophie fue la única concursante, lo tomó como un reto pero su trabajo fue considerado incompleto e incorrecto, y el jurado decidió posponer dos años más el premio. En esta memoria Sophie postula que “en un punto de la superficie la fuerza de elasticidad es proporcional a la suma de las curvaturas principales de la superficie en dicho punto”, que es lo que siempre llamará “mi hipótesis”. En 1813 presentó la segunda memoria, por la que obtuvo una mención de honor ya que sus deducciones teóricas explicaban los resultados experimentales y presentó otro estudio en 1815.

Este tercer trabajo: “Mémoire sur les Vibrations des Surfaces Élastiques”, por el que se le concedió, por fin, el premio extraordinario de la Academia, suponía una defensa de la legitimidad de su hipótesis a la vez que un ataque al modelo laplaciano y a la teoría molecular. También proponía matematizar el concepto de forma de una superficie y el de deformación.

En 1821 la publicó, por cuenta propia, un libro con el título “Recherches sur la théorie des surfaces élastiques” posiblemente con objeto de pasar a la posteridad y de que ningún compañero se apropiara de sus investigaciones, tal vez a causa de su rivalidad con Poisson.

En 1826 publicó “Remarques sur la nature, les bornes et l´étendue de la question des surfaces élastiques et Équation Générale de ces Surfaces” y en 1828 “Examen des principes qui peuvent conduire à la connaissance des lois de l´équilibre et du mouvement des solides élastiques”.

En 1830 redactó dos trabajos, uno sobre teoría de números “Notes sur la manière dont se composent les valeurs de y et z dans la équation…” y otro sobre elasticidad en el que buscaba definir una teoría dinámica de la curvatura: “Mémoire sur la courbure des surfaces” donde introdujo el concepto de curvatura media como la semisuma de las curvaturas principales. Estas dos memorias fueron publicadas en 1831, tras su muerte, en el Crelle’s Journal.

Gauss, que la había olvidado, nuevamente reconoció sus méritos y prácticamente obligó a su universidad a otorgarle un doctorado honorario en matemática. Los directivos accedieron, pero la vida es a veces muy injusta: Marie-Sophie Germain murió pocos días antes de la ceremonia en que se le entregaría su diploma, el 27 de junio de 1831.

Además de trabajar en matemáticas y física, Sophie se interesó por la filosofía, química, historia y geografía. Su ensayo filosófico “Considérations générales sur l’état des Sciences y des Lettres aux différentes époques de leur culture” fue publicado en 1833, después de su muerte.

Curiosidades

  • Una calle de París y un Liceo llevan su nombre, y una placa, en la casa donde murió, (el número 13 de la rue de Savoie) la recuerda como matemática.
  • En 1824 había presentado a la Academia una memoria. Poisson, Laplace y el barón de Prony, que eran los encargados de evaluarla, no lo hicieron nunca. La “Mémoire sur l’emploi de l’épaisseur dans la théorie des surfaces élastiques” permaneció entre las posesiones de Prony. Cuando en 1879 se publicó “Sophie Germain: Oeuvres philosophiques” se despertó de nuevo el interés por Sophie y se recuperó dicha memoria que fue publicada en 1880.
  • En Teoría de Números se dice que un número natural es un número primo de Germain, si el número n es primo y 2n+1 también lo es. Los números primos de Sophie Germain inferiores a 200, son: 2, 3, 5, 11, 23, 29, 41, 53, 83, 89, 113, 131, 173, 179, 191.
  • El Instituto de Francia concede anualmente “Le prix Sophie Germain” al investigador que haya realizado el trabajo más importante en Matemáticas.
  • Todo el reconocimiento es póstumo, de hecho incluso en su certificado de defunción lo que figura como profesión es rentista en lugar de matemática.
  • Cuando se construyó la Torre Eiffel, los arquitectos inscribieron los nombres de 72 grandes científicos franceses, el nombre de Germain no estaba entre ellos, a pesar de la importancia de su trabajo para la construcción de la torre.

Deja un comentario

Este sitio utiliza Akismet para reducir el spam. Conoce cómo se procesan los datos de tus comentarios.